葵花宝典

vuePress-theme-reco 前端小菜-贺俊兰    2026
葵花宝典 葵花宝典

Choose mode

  • 关灯
  • 自动
  • 开灯
主页
分类
  • LeetCode
  • JavaScript
  • Node
  • 其他
  • VUE
标签
时间轴
author-avatar

前端小菜-贺俊兰

33

文章

7

标签

主页
分类
  • LeetCode
  • JavaScript
  • Node
  • 其他
  • VUE
标签
时间轴
  • LeetCode

    • 两数之和
    • 三数之和
    • 有效括号
    • 斐波那契数列
    • 杨辉三角
    • 相同的树
    • 简化路径

相同的树

vuePress-theme-reco 前端小菜-贺俊兰    2026

相同的树

前端小菜-贺俊兰 2020-09-01 LeetCode

# DFS和BFS

  1. DFS -> 深度优先遍历
  2. BFS -> 广度优先遍历

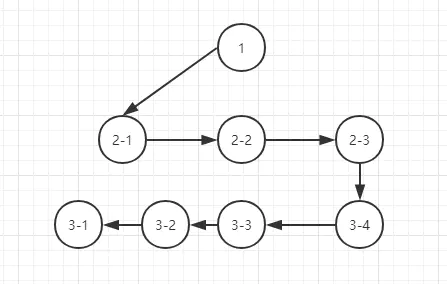
DFS如图

foo

BFS如图

foo
  1. 区别

    对于算法来说 无非就是时间换空间 空间换时间

    1. 深度优先不需要记住所有的节点, 所以占用空间小, 而广度优先需要先记录所有的节点占用空间大
    2. 深度优先有回溯的操作(没有路走了需要回头)所以相对而言时间会长一点
    3. 深度优先采用的是堆栈的形式, 即先进后出
    4. 广度优先则采用的是队列的形式, 即先进先出

# 题目

输入:       1         1
          / \       / \
         2   3     2   3

        [1,2,3],   [1,2,3]

输出: true
1
2
3
4
5
6
7

示例

输入:       1         1
          / \       / \
         2   3     2   3

        [1,2,3],   [1,2,3]

输出: true


输入:      1          1
          /           \
         2             2

        [1,2],     [1,null,2]

输出: false


输入:       1         1
          / \       / \
         2   1     1   2

        [1,2,1],   [1,1,2]

输出: false

1
2
3
4
5
6
7
8
9
10
11
12
13
14
15
16
17
18
19
20
21
22
23
24
25
26

# 解法

# DFS解法

其实就是递归各个节点。根据题目分析得出一下几点。

  1. 当两棵树的当前节点都为 null 时返回 true
  2. 当其中一个为 null 另一个不为 null 时返回 false
  3. 当两个都不为空但是值不相等时,返回 false
/**
* Definition for a binary tree node.
* function TreeNode(val, left, right) {
*     this.val = (val===undefined ? 0 : val)
*     this.left = (left===undefined ? null : left)
*     this.right = (right===undefined ? null : right)
* }
*/
/**
* @param {TreeNode} p
* @param {TreeNode} q
* @return {boolean}
*/
var isSameTree = function(p, q) {
   if(p == null && q == null) return true
   if(p == null || q == null) return false
   if(p.val != q.val) return false
  return isSameTree(p.left,q.left) && isSameTree(p.right,q.right)

};
1
2
3
4
5
6
7
8
9
10
11
12
13
14
15
16
17
18
19
20

# BFS解法

利用数组队列,把待对比的节点放入队列,每次取出队列第一个校验。当队列为空时,说明两个节点完全一样。 这时return true,反之在循环中写入判断条件,需要注意的是与DFS相比,当两个节点都同时为null时,是跳出循环 进行下一次循环,不是直接return true。

/**
 * Definition for a binary tree node.
 * function TreeNode(val, left, right) {
 *     this.val = (val===undefined ? 0 : val)
 *     this.left = (left===undefined ? null : left)
 *     this.right = (right===undefined ? null : right)
 * }
 */
/**
 * @param {TreeNode} p
 * @param {TreeNode} q
 * @return {boolean}
 */
var isSameTree = function(p, q) {
    let cace=[
        {p,q}
    ]
    while(cace.length){
        let seq=cace.shift()
        if(seq.p == null && seq.q == null) continue
        if(seq.p == null || seq.q == null) return false
        if(seq.p.val != seq.q.val) return false
        cace.push(
            {
                p:seq.p.left,
                q:seq.q.left
            },
            {
                p:seq.p.right,
                q:seq.q.right
            }
        )
    }
    return true
};
1
2
3
4
5
6
7
8
9
10
11
12
13
14
15
16
17
18
19
20
21
22
23
24
25
26
27
28
29
30
31
32
33
34
35
欢迎来到 葵花宝典
看板娘